Действия тока отличаются не только по виду, но и по интенсивности. Чем больше электрический заряд, перенесённый заряжёнными частицами за некоторое время, тем сильнее действие тока. Для количественного измерения этого действия вводят величину — силу тока.
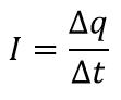
Физическую величину, равную отношению электрического заряда, прошедшего через поперечное сечение проводника, ко времени его прохождения, называют силой тока.
Если с течением времени сила тока и его направление не изменяются, то ток называют постоянным электрическим током.
На IX Генеральной конференции по мерам и весам в 1948 г. единицу силы тока решили определять по явлению взаимодействия двух проводников с током.
По двум проводникам, расположенным параллельно друг другу, пропускают электрический ток. В зависимости от направления тока в проводниках они либо притягиваются, либо отталкиваются. При изменении силы тока в проводниках сила взаимодействия между ними также меняется: чем больше сила тока, тем сильнее они притягиваются или отталкиваются. Эту силу можно измерить.
За единицу силы тока приняли силу такого тока, протекание которого по двум тонким длинным параллельным проводникам, находящимся в вакууме на расстоянии 1 м друг от друга, вызывает их взаимодействие с силой 2·10–7 Н, приходящейся на каждый метр длины проводников.
Единицу силы тока в СИ назвали ампером (А) в честь французского учёного Андре Ампера.
Единицу заряда — кулон — устанавливают по единице силы тока.
q = It
1 Кл — это электрический заряд, проходящий через поперечное сечение проводника за 1 с при силе тока в проводнике 1 А.
1 Кл = 1 A·c
Значение элементарного заряда равно в точности 1,602176634·10–19 Кл
Измерение силы тока
Силу тока в цепи измеряют амперметром. По принципу действия и устройству амперметр похож на гальванометр. Чтобы различать эти приборы, на шкале амперметра ставят букву А. Амперметр, включённый в электрическую цепь, почти не меняет в ней силу тока.
Включается амперметр в цепь так, что конец одного проводника соединяется с началом другого. Такое включение называют последовательным. Клемму амперметра со знаком «+» надо соединять с проводом, идущим от положительного полюса источника тока.
При этом заряд, проходящий через любое поперечное сечение проводника в единицу времени, одинаков, поскольку заряд нигде не накапливается. Поэтому амперметр можно включать в любой участок последовательной цепи.






